Testo rivisitato da “il Sillabario”, n. 2 1996


Testo rivisitato da ‘Il Sillabario’, n. 3 1996

Testo rivisitato da ‘Il Sillabario’, n. 4 1997

Testo rivisitato da ‘Il Sillabario’, n. 1 1998


IL PARADOSSO DEI GEMELLI?
Dott. Prof. Marco Rosa-Clot
Fisico Teorico, Università di Firenze
“Sono convinto che i filosofi hanno sempre avuto un effetto dannoso sul progresso del pensiero scientifico poiché hanno sottratto molti concetti fondamentali al dominio dell’empirismo, nel quale si trovavano sotto il nostro controllo, e li hanno portati alle intangibili altezze dell’“a priori “.
Questa frase polemica e di sapore vagamente oscurantista apre il famoso libro di Einstein “Il significato della relatività” in cui viene esposta in modo conciso e compiuto, la teoria della relatività galileiana, speciale e generale (il lettore non si faccia illusioni: il libro è un capolavoro di chiarezza ma richiede approfondite conoscenze di geometria differenziale ed è tutt’altro che accessibile ai non specialisti).
Sorvoliamo sulla polemica, evitiamo di richiamare l’importanza per la storia del pensiero umano della speculazione filosofica, e umilmente seguiamo la lezione empirista.
Saliamo su un aereo, controlliamo l’orologio. Partiamo da Roma e facciamo rotta equatoriale verso Tokyo. Io passando da Bombay e voi da NewYork. A Tokyo prendiamo un caffè e poi continuiamo il nostro viaggio (ognuno nella sua direzione) per poi ritrovarci a Roma allo stesso punto a circa due giorni dalla partenza.
Controlliamo gli orologi: il mio orologio (ho viaggiato verso est) segna un tempo maggiore del vostro. Vi posso assicurare che i due orologi sono identici, che funzionano benissimo, non c’è trucco. Se partendo avevamo la stessa età ora voi siete in realtà un po’ più giovani di me. Mica di tanto si capisce; controllando bene si tratta di soli 300 nanosecondi, cioè 0,3 milionesimi di secondo; ma siete più giovani! Questo è il punto.
Quello che ho descritto è in effetti l’esperimento di Hafele e Keating (due fisici americani) del 1971. I due aerei scelti per l’esperimento hanno volato per circa 50 ore e i due orologi erano due orologi atomici identici in grado di apprezzare il miliardesimo di secondo (il nanosecondo).
La teoria della relatività prevedeva in questo caso una differenza di tempi di 315 ±30 nanosecondi (miliardesimi di secondo), il risultato sperimentale trovato fu di 332±12 ns. Un successo straordinario dell’analisi teorica di Einstein di più di mezzo secolo prima. Un risultato giudicato dai contemporanei prima manifestamente falso e poi paradossale: il paradosso dei due gemelli.
All’epoca fu infatti proposto un “gedenken experiment” (un esperimento pensato): uno dei due gemelli intraprende un viaggio spaziale a velocità prossima a quella della luce e quando ritorna trova il fratello molto più vecchio di lui: il tempo e passato in modo diverso per i due soggetti.
Hafele e Keating hanno realizzato questo esperimento utilizzando i mezzi di trasporto disponibili e migliorando enormemente il sistema di misura del tempo: non si guardano i capelli bianchi di un uomo ma si contano le oscillazioni degli atomi di cesio di un orologio atomico.
Ma perché parlare di paradosso?
E’ paradossale che una trottola in rapida rotazione non cada e si mantenga in equilibrio sulla sua punta? Dipende dai punti di vista ma soprattutto dall’abitudine. Fin da bambini abbiamo visto trottole girare e ora ci sembra del tutto naturale che ciò avvenga. Inoltre le leggi della meccanica del corpo rigido spiegano benissimo questo fenomeno in tutti i suoi dettagli.
E’ paradossale che un aereo voli? Forse, ma a partire dagli studi di Leonardo e dalle sue osservazioni sul volo degli uccelli lo è un po’ meno, e oggi è certamente considerato un fatto quanto meno ovvio; anzi è paradossale che un aereo cada.
Continuiamo a seguire umilmente la lezione empirista e poniamoci una prima domanda: cosa è il tempo? (dal punto di vista fisico si intende, non soggettivo o meteorologico od altro).
La fisica considera il tempo in modo empirico come una grandezza continua, misurabile con orologi, e che scorre in una sola direzione.
L’individuazione di un evento avviene assegnandone le coordinate spaziali e l’istante temporale in cui si verifica. La principale differenza tra posizione e tempo sta nella possibilità di muoversi lungo le coordinate in ogni direzione mentre il tempo è per sua natura unico e percorribile solo in un senso.
La fisica assegna anche leggi di trasformazione delle coordinate che sono deducibili da osservazioni sperimentali. Per esempio l’osservazione empirica comune ci insegna che la posizione di un viaggiatore su un treno in movimento con velocità v rispetto a un amico fermo in stazione sono date da x’ = xo + vt dove xo è la sua posizione all’istante t=0 (trasformazione della relatività galileiana), mentre il tempo per i due amici è lo stesso: t’ = t.
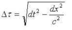
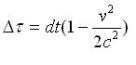
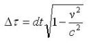
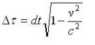
La fisica relativistica, a partire dall’osservazione che la velocità della luce nel vuoto è invariante a prescindere dal sistema di riferimento in cui viene misurata, arriva ad altre relazioni: le trasformazioni di Lorentz.
Certo è paradossale affermare che la velocità della luce è la stessa sia che il raggio luminoso parta da un treno in corsa che dall’osservatore fermo. Per la bottiglia di gazzosa lanciata dal finestrino non è certo la stessa cosa: in un caso il signore in stazione la lascia cadere correttamente nel cestino dei rifiuti, nell’altro il passeggero sul treno in corsa la lascia cadere dal finestrino e il risultato può essere disastroso.
Tuttavia i fotoni non sono bottiglie di gazzosa e potremmo dire che sarebbe piuttosto paradossale trattarli alla stessa stregua.
Allora seguiamo ancora la lezione dell’empirismo ed accettiamo che c è costante. Paradossale ma vero, quindi non paradossale. Se prendiamo la parola nel suo etimo (al di là dell’opinione) c = costante in ogni sistema di riferimento è una realtà fisica e quando ci si abitua a questo, per definizione non è più paradossale.
L’implicazione delle trasformazioni di Lorentz sull’intervallo temporale sono semplici:

e ricordando che dx = vdt

che per velocità v piccole rispetto a c si può scrivere

Questa formuletta merita di essere illustrata in un grafico.
Supponiamo di studiare due diversi percorsi nello spazio tempo (vedi fig. 1). In un primo caso (cammino a) il soggetto a sta fermo nella posizione x=xo
e si trova dopo un tempo Dt nella stessa posizione senza mai muoversi. Nel secondo caso (cammino b) il soggetto b si allontana dalla posizione originaria per poi tornarci. Nel far questo il suo tempo cambia secondo la legge:

enunciata sopra e quindi quando torna al punto B il suo tempo risulta minore! la linea retta tra due punti nello spazio tempo della relatività risulta essere la più lunga possibile rispetto a qualsiasi altra congiungente!

Figura 1: Rappresentazione schematica del percorso dei due gemelli che vanno dal punto A (di coordinata xo) al punto B (stessa coordinata spaziale) lungo due diversi percorsi. Percorso a : il gemello 1 sta fermo e lascia passare il tempo da to a t1. Percorso b: il gemello 2 si allontana da xo per poi ritornare a xo e ritrovarsi con il gemello 1 al punto B all’istante t1.
Paradossale! ma vero e inoltre osservato (quindi non paradossale).
Si noti che il tempo proprio dei due osservatori non viene alterato; gli orologi atomici non rallentano o accelerano e (ciascuno nel suo sistema) soddisfano immutati le stesse leggi della fisica atomica e dell’elettromagnetismo. Cambia la distanza di tempo relativa. Inizialmente nulla, essa aumenta progressivamente fino a diventare 330 ns alla fine del viaggio.
Per comprendere meglio il fenomeno serviamoci di una analogia: due esploratori all’equatore si trovano alla distanza di 100 Km e si mettono entrambi incammino verso Nord (si noti muovendosi “parallelamente” e su un percorso rettilineo perpendicolare all’equatore stesso). Dopo 100 Km misurano la loro distanza e scoprono che si e’ ridotta di 31 cm. Se continuassero nel loro percorso vedrebbero la loro distanza ridursi ancora sempre più rapidamente fino a diventare zero nel punto di incontro al polo.
La risposta a questa osservazione può essere un sorrisetto di sufficienza: grazie! Sappiamo tutti che la geometria della sfera e’ tale che due meridiani si avvicinano e poi si incontrano (due archi di cerchio massimo, cioè due parallele). Abbiamo solo scoperto che le leggi di trasformazione delle coordinate non sono quelle del piano euclideo.
Torniamo all’esperimento di Hafele e Keating. In un caso la velocità dell’aereo si somma a quella di rotazione della terra (viaggio orario verso ovest) nell’altro caso si sottrae. e da cui:
Δτ1 = dt [1+(vT+va)2/c2 ]^1/2; Δτ1=Δ t vTva/(2c2)] e
Δτ2 = dt [1 + (vT – va)2/(2c2 )]; Δτ1 – Δτ2 =4Δ t vTva/(2c2)
Ma vT= ωR dove ω è a velocità di rotazione terrestre (ω = 2π/ Ns dove Ns e’ il numero di secondi in un giorno: Ns = 8600 sec e R è il raggio equatoriale e Δtva=2πR . Quindi Δτ1 – Δτ2 =4πωR2/c2 , circa uguale a 400ns.
Quindi Utilizzando il percorso effettivamente fatto dagli aerei (non seguivano orbite esattamente equatoriali) si trova il risultato citato sopra.
Se queste poche righe hanno lasciato pensare che la frase di Einstein sui filosofi sia da me condivisa chiedo venia al paziente lettore. Spero invece che il discorso sull’empirismo sia accettato nella sua globalità.
Certo la relatività non ci mette a disposizione un metodo per ringiovanire (il tempo scandito dagli orologi atomici scorre inesorabile nei due sistemi di riferimento) ma sicuramente possiamo abbreviare i viaggi spaziali.
Da questo punto di vista l’ignoranza della relatività da parte dell’equipaggio della Enterprise è sconfortante. Questa benedetta astronave si ostina a viaggiare a velocità superiore a quella della luce e ad usare una fisica non relativistica. Orbene, la galassia ha un diametro di 100mila anni luce. Che me ne faccio di una astronave che viaggia 100 volte più veloce della luce e ci mette 1000 anni a raggiungere i Klingoni in capo alla galassia.
Ben altra lezione ci viene dal mondo reale. Arrivano regolarmente sulla terra raggi cosmici con energia di milioni di TeV (tera electronvolt). Un protone con una energia di un milione di TeV (1018 ev) ha un velocità molto vicina a quella della luce (0.9999999999999999995*c : ci sono 18 cifre 9 dopo lo zero). Ma quello che più interessa è che il rapporto tra il suo tempo e quello di un osservatore fermo è dato da:

che è uguale dt/109.
Quindi in poco più di mezz’ora (del suo tempo proprio) il protone attraversa la galassia e in 10 anni l’intero universo. Povero Star Trek! E questa è fisica!
(Marco Rosa-Clot, fisico Teorico)
(Rivisitato da Il Sillabario, n.4, 1997, XI)
PER VEDERE IL CURRICULUM DI MARCO ROSA-CLOT CLICCARE SU:
mrcsh-it-1
______________________________
Vedere anche “Un possibile racconto sulla relazione fra massa ed energia” di Piero Pistoia; nell’intenzione, a taglio più didattico argomentativo.
PROLOGO ALL’ARTICOLO scritto da Piero Pistoia
In via di sviluppo; rivisitato e corretto da Il Sillabario n. 4 1995; da esso in particolare riprese le immagini.
Alcune argomentazioni su dubbi!
L’ARGOMENTAZIONE SVILUPPATA IN QUESTO RACCONTO CERCA DI SEMPLIFICARE IL PERCORSO CONCETTUALE SEGUITO NEL TESTO “PHYSICS FOR THE INQUIRING MIND” BY ERIC M. ROGERS, Princerton University press, Cap. 31. Tale testo al tempo fece epoca. Il capitolo 31 sulla Relatività fu poi tradotto anche in italiano per il “The Project Physics Course” della Zanichelli, Unità 4 e Unità 5, 1982. Questa traduzione fu inserita nella Prima Lettura, pagg. 5/114-5/141.
AFFERMAZIONE DI ROGERS NEL CUORE DELL’ARGOMENTAZIONE
“…Then ε, watching ε’ at work, sees that ε’ uses a clock that runs slowly (but they agree on normal meter sticks in the y-directions). So ε sees that when ε’ said he misured 3 meters travel in 1 sec, it was ‘really’ 3 meters in more-than 1-second as ε would misure it by his clock…” by Rogers pag. 486
___________________________RIQUADRO_______________________
CAPITOLI
2 – NOZIONI NECESSARIE DI FISICA ELEMENTARE
3 – NOZIONI NECESSARIE DI RELATIVITA’ RISTRETTA
4 – RELAZIONE FRA MASSA ‘A RIPOSO’ E MASSA IN MOVIMENTO: UN ESPERIMENTO “PENSATO” ALLA GALILEO
5 – LA RELAZIONE FRA MASSA ED ENERGIA
6 – NOTE
7 – IL DUBBIO
____________________________________________________________
CLICCANDO SOPRA GLI SCRITTI POCO LEGGIBILI SI INGRANDISCONO

CENNI DI NOZIONI NECESSARIE DI RELATIVITA’ RISTRETTA
I Postulati della Relatività Ristretta di Einstein affermano 1) Tutte le leggi fisiche sono le stesse in tutti i sistemi di riferimento inerziali (“spazi” che traslano reciprocamente di moto rettilineo uniforme). 2) la velocità della luce (nel vuoto) è la stessa per ogni osservatore in un sistema di riferimento inerziale, qualunque sia il moto relativo fra la sorgente luminosa e l’osservatore. Su questi postulati si “costruiscono”, senza grandi difficoltà matematiche (a parte qualche sottigliezza concettuale), le così dette Trasformazioni di Lorentz (quelle di Galileo riguardavano lo stesso argomento senza considerare il 2° postulato), che rappresentano le relazioni fra coordinate di uno stesso evento “lette” da due osservatori situati in due “zone di spazio” che si muovono relativamente di moto rettilineo uniforme con velocità V. Senza entrare nel merito, queste trasformazioni permettono di affermare fra l’altro che a) Ogni osservatore di un sistema inerziale pensa di essere in quiete e vede gli oggetti sull’altro sistema scorciarsi nella direzione del moto di un fattore 1/R=√(1-V2/c2 ) se R=(1-V2/c2)-1/2. R è anche circa uguale a: 1+1/2*V2/c2 . Se V è minore di c (oggetti-massa), R è maggiore di 1; in buona approssimazione è 1 se V è molto minore di c (V<<c); √(1-V2/c2 ) < 1. b) Ogni osservatore che pensa di essere in quiete (es., Oa), vede rallentare l’orologio dell’altro sistema (Ob) ancora di un fattore R. Per Oa rallentano anche le vibrazioni degli atomi e quindi anche gli orologi atomici, il battito del cuore, il metabolismo degli organismi viventi, che probabilmente condiziona tutto il processo vitale (il ciclo vitale degli organismi aumenta insieme alla speranza di vita; si invecchia più lentamente [ha senso qui la relazione Δtb = Δta * √(1-V2/c2 )]. Ad ogni intervallo fra ticks successivi corrispondente ad un secondo letto nell’orologio dell’osservatore che pensa di essere in quiete, corrisponde più di un secondo nell’orologio di Ob (per ogni secondo → 1 sec*R; 3 sec in Oa, 3*R sec in Ob, sempre registrati da Oa ). In termini di pendolo, se i due osservatori hanno un pendolo che batte il secondo (oscillazione completa in un secondo misurata da ogni osservatore all’interno del proprio sistema), se Oa (in quiete) guarda il pendolo di Ob, vede che, quando il suo pendolo termina l’oscillazione completa (1 sec), l’altro (OB) ha ancora da terminarla. Che cosa accade ad R se V si avvicina a c? E se V supera c? E delle misure delle dimensioni degli oggetti ? (l=lo/R, vedere (i) e (ii) nella figura sotto) e del tempo? (t=to*R? vedere (iii) nella figura sotto o t=to/R?); ancora da approfondire!.

Come cambiano le misure predette dalla relatività
L’immagine sopra riportata con scritti in inglese si trova nel cap. 31 pag. 485 del testo “Physics for inquiring mind” di Eric M. Rogers; in italiano si trova invece nelle ‘Letture’ pag, 5/127 del testo “The project Physics Course, Unita’ 5 e Unita’ 6” Zanichelli editore e noi l’abbiamo presa in prestito.
La Figura sotto rappresenta invece un esperimento costruito nella mente, di fatto scarsamente praticabile, ma che pensiamo possa facilitare l’apprendimento del concetto (ipotesi: le due masse rimarranno uguali? Certamente! almeno il tipo di atomi e il loro numero rimarranno gli stessi). Centinaia sono stati gli scritti sulla relatività di Einstein dopo la sua pubblicazione all’inizio del XX° secolo e altrettanti verranno pubblicati nel corso del nuovo secolo, con i loro obiettivi, i loro percorsi rilevanti, i loro stratagemmi, le loro ‘fisiologie’ intendo. Nel nostro caso ci sono due osservatori in due “spazi” paralleli, che si muovono relativamente in verso opposto di moto rettilineo uniforme con velocità relativa V. Ciascun osservatore possiede un oggetto-massa identico (stesso contenuto di materia) posto in quiete su un piano privo di attrito. Si appoggi ai due oggetti (chi e come non si sa!) un sistema ‘molla compressa-corda’ privo di massa nel momento di incontro, quando i due spazi si trovano di fronte lungo Y e la molla termina l’azione proprio quando gli orologi dei due sistemi segnano zero secondi (sic!). Per la sincronizzazione degli orologi, posti ai nodi di strutture spaziali ‘a tubi innocenti’ ed altro, si rimanda all’articolo di Giorgio Cellai in questo blog. Sono uguali e opposti gli impulsi nei due sistemi e, per come è stata la spinta, per ogni osservatore all’interno del proprio spazio, appena caduta la molla, i due oggetti si muovono lungo la direzione dell’asse y in versi opposti di moto uniforme con uguali quantità di moto. Per la conservazione della quantità di moto vettoriale infatti, sia il vettore M*Va sia il vettore di verso opposto M*Vb continueranno a ‘guardare’ nella direzione dell’asse Y. Per la fisica classica le due velocità dovranno essere le stesse! Ma misuriamole tenendo conto delle trasformazioni relativistiche accennate! Da notare che, se, per es., l’osservatore A pensa di essere fermo, vede muovere l’oggetto in B lungo la diagonale di lati V e vb (!), il metro lungo X si contrae, ma noi siamo interessati solo al movimento lungo y. Se due masse Mb e Ma interagiscono sotto lo stesso impulso, in un sistema isolato, come già accennato, la Quantità di Moto totale è costante nel tempo. Tenendo conto delle condizioni iniziali (per t=0, vb1=va1=0) otteniamo Ma*va = Mb*vb e se, per l’osservatore A per qualche ragione, vb=va/R, vb diminuisce di R, per cui Mb=Ma*va/vb aumenta di R. E viceversa per l’osservatore B. Se partiamo con due masse uguali , Mb=Ma, otteniamo che Mb diventa maggiore di Ma a causa del movimento (ancora da rifletterci).
_____________________________RIQUADRO___________________
Per qualsiasi valore di V anche per V/c<<1:
M-Mo = Mo*R – Mo dove R=1+1/2*V^2/c^2 ; se
M-Mo = Mo*(R-1) allora M-Mo = 1/2 * Mo*V^2/c^2 =Er/c^2
ΔM =Er/c^2
Se V<< c, fornendo energia cinetica (tramite lavoro di una forza , urto…) o energia di qualsiasi altro tipo (es., calore), la sua massa , in conseguenza di ciò, aumenta di Er/c^2 e viceversa. (Da chiarire ulteriormente)
Attenzione: è la V, velocità relativa dei due spazi, che fa rallentare gli orologi, non le velocità delle due masse, indicate con Va e Vb ovvero va e vb o altro! R=1+1/2*V^2/c^2
__________________________________________________________

Piero Pistoia
N.B. – I DUBBI SU ALCUNI PASSAGGI CONCETTUALI SONO STATI DISCUSSI CON L’ING. RODOLFO MARCONCINI E COMUNICATI ANCHE AL PROF. GIORGIO CELLAI.
IL DUBBIO: Dai principi della Teoria è possibile derivare logicamente in ogni caso la seguene relazione?
Δtb = Δta / √(1-V2/c2 ) –> Δtb aumenta in questo modo in ogni condizione?
FORSE! LA SOLUZIONE DEL
DUBBIO_ rel1
ancora in pdf
LORENTZ_RELATIVITA’OK1
CURRICULUM DI PIERO PISTOIA:
cliccare su:
piero-pistoia-curriculumok (#)